We categorize stars into different types based on attributes like Luminosity, Temperature and size – but how do we define it and measure it, lets discuss briefly starting with distance which makes a foundation of a lot of other observations – the science of measuring distances to these astronomical objects is called astrometry 🙂
Distance
To measure how far the star is from us – we use parallax to our advantage.
What is parallax?
Parallax is the shift in apparent position of an object when viewed from an angle, we calculate this apparent change in stellar position with respect to a known change in observer position and using that calculate the stellar distance.


Where we can simply estimate parallax angle (p) of a star by making observations at different times in a year and use its value in arcseconds to get us the distance of the star (d) in parsecs.
Parallax is defined as angular radius of earth’s orbit as seen from the star or from an earthly perspective, its half the total shift of stars (we say half because we move 2AU apart in our extreme observations)
What is a parsec?
1 parsec is essentially,
= 1 AU / 1 arcsecond
= 1.496e+8 km / ((pi/180)/3600) rad
= 1.496e+8 km / 4.84814e-6 rad
= 3.0857195e+13 km
In light years,
= 3.0857195e+13 km / (3.154e+7 s/yr * 299792.458 km/s)
= 3.26 light years
How far can we see? / How granular we can measure?
Measuring parallax for angles smaller than 0.01 arcsecond (i.e. 10 milli arcsecond) from earth is really hard because our atmosphere causes a lot of blurring, so the ground based telescopes here on earth can reliably measure stars about 100 parsecs (derived from 1/0.01) through this parallax method.
Several ground based telescopes have achieved this level of precision, for instance the Cerro Tololo Inter-American Observatory in Chile has an astrometric parallax program CTIOPI, which had separate programs with their 0.9m and 1.5m telescopes giving a precision of ~2-3.5 milli arcseconds the details of which can be found here and here. The United States Naval Observatory (USNO) also has a Parallax catalog, UPC containing more than 113k parallaxes between 2-13 milli arseconds in 2018, you can read more about it here. And the 1.8m wide field Panoramic Survey Telescope in Hawaii, PanSTARRS also has a catalogue for parallaxes especially for faint objects like dwarf planets and asteroids and seems to have achieved a percision of about 3 milli arcseconds over multiple epochs (10 milli arcseconds over 1 epoch). You can read more about it here and here.
Even other ground based telescopes like infrared and radio based telescopes have parallax catalogues like the infrared telescope VISTA Variables in the Via Lactea (VVV) has a near infrarred catalogue VIRAC for more than 300k stars with a median precision of 1.1 milli arcsecond. You can read more about it here.
The Very Long Baseline Interferometry (VLBI) array of radio telescopes all over earth also has some projects including detailed parallax studies like BeSSeL and VERA having measurement accuracies of about 20 and even 5 micro arcseconds. You can read more about it here.
That said, space based telescopes have achieved a pretty impressive precision – from 1989 Hipparcos by ESA that measured parallaxes for about 118k stars with an accuracy of 0.001 arcseconds (i.e. 1 milli arcsecond), you can read more about this really impressive telescope here.
The Hubble telescope can measure a parallax of upto 20-40 micro arcseconds with its Wide Field Camera (WFC3) which gives us a theoretical limit of measuring stars that are 5 kilo parsecs away from us, and there have been successful Cepheid variable star calculations at about ~ 3 kilo parsecs in 2016, you can read about it here and here
And the Gaia EDR3 release of 2021 shows that they achieved a precision of the order of 10 micro arcseconds which is about 1000 times more than the ground based telescopes, letting us measure distances upto 100 kilo parsecs theoretically, but unfortunately even the stars in Large Mangellic Cloud (~60 kilo parsecs away) have a pretty high uncertainty and probably mark the max capacity, with most reliable observations lying around a few kilo parsecs (20-30 micro arcseconds) which is still very impressive! you can read more about it here and here
The more recent JWST although not primarily an astrometric telescope but is nonetheless armed with powerful equipment like NIRCam ans NIRISS which give can be and are used for high precision astrometry in ranges of 0.2 milli arcseconds you can read more about it here and here
Proper Motion
All these stars are moving through space, we measure how a star appears to move (compared to its background) as seen from earth.
Measuring parallax helps us calculate distance which in turn helps us calculate the proper motion of the star (parallax distance is directly used to calculate the tangential velocity)
And although now used in very specific use cases, in the past we’ve used proper motion to estimate distances to stars as well, we can group similar stars together (like those sharing an open cluster – hence a relatively similar motion in space) and estimate their respective distances, another technique is grouping similar stars together and observing their velocity and proper motion distributions to calibrate other properties (like absolute magnitude of standard candle stars). In the past we also used a model of Sun’s motion and then estimated the distance of background stars that’d best explain their motion relative to the sun.


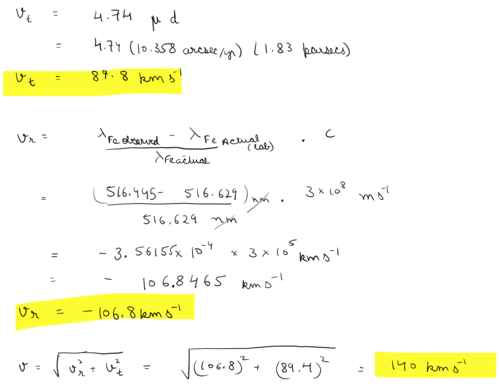
Closer stars appear to move more although that might not be always true, but here is the case of a relatively close star with the highest proper motion recorded -the Barnard’s Star which seems to be moving at 10.3 arcseconds every year, the following is an estimation of its velocity

Also check out HSTPROMO for more information about proper motion and proper motion catalogs
References
Distance
UPC
VizieR Online Data Catalog: The URAT Parallax Catalog (UPC). Update 2018 (Finch+, 2018)
Pan-STARRS
The Parallax of VHS J1256-1257 from CFHT and Pan-STARRS-1
Photometry and Proper Motions of M, L, and T Dwarfs from the Pan-STARRS1 3π Survey
CITIOPI
Results from CTIOPI: Parallaxes, Perturbations, and Pushing Towards SIM PlanetQuest
The Solar Neighborhood. XVI. Parallaxes from CTIOPI: Final Results from the 1.5 m Telescope Program
VIRAC
VIRAC: the VVV Infrared Astrometric Catalogue
VizieR Online Data Catalog: VIRAC. The VVV Infrared Astrometric Catalogue (Smith+, 2019)
VERA and BeSSeL
The VERA project (VLBI Exploration of Radio Astrometry)
Science with VERA: VLBI exploration of radio astrometry
The Bar and Spiral Structure Legacy (BeSSeL) survey: Mapping the Milky Way with VLBI astrometry
Hipparcos
Parallaxes and proper motions for 20 open clusters as based on the new Hipparcos catalogue
Zero-point and external errors of HIPPARCOS parallaxes
Gaia
Validation of the accuracy and precision of Gaia EDR3 parallaxes with globular clusters
Gaia: Ten Years of Surveying the Milky Way and Beyond
Hubble
Hubble Space Telescope: A Generator of Submilliarcsecond Precision Parallaxes
JWST
Photometry and astrometry with JWST – III. A NIRCam-Gaia DR3 analysis of the open cluster NGC 2506
JWST-TST Proper Motions. I. High-precision NIRISS Calibration and Large Magellanic Cloud Kinematics
Photometry and astrometry with JWST‑II: NIRCam distortion correction
